Handzame dompelpomp met vlotter

Afmetingen Dompelpomp met vlotter


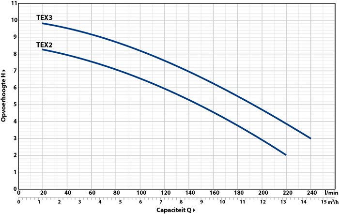
Pompkarakteristieken van dompelpompen met vlotter


De elektrische dompelwaterpomp TEX bestaat uit een pomplichaam, een zuigkorf en een pompwaaier van technopolymeer. De elektromotor draait met een snelheid van 2900 tpm met IPX8 beschermingsklasse, klasse F en continue service type S1. In deze eenfasige motor van 230 V is de thermische beveiliging ingebouwd, waardoor de pomp bij langdurig draaien of droogloop kan worden beschermd. De dubbele mantel met zijdelingse afvoer maakt het mogelijk om de motor door de gepompte vloeistof te koelen. De koppelingsas tussen de waaier en de elektromotor is gemaakt van AISI 430F roestvrij staal, het interne pomp-as van de motor is gemaakt van AISI 304 roestvrij staal. Deze waterpomp heeft een dubbele afdichting in een oliebad, bestaande uit een vulling en een lipafdichting.

Unieke vlotterschakelaar van dompelpompÂ
De TEX elektrische drainagepompen bieden een compacte oplossing voor afvalwater. Ze worden voornamelijk gebruikt in stationaire opstellingen om water uit pompputten of pompschachten te pompen. Deze waterpompen zijn echter ook uitermate geschikt voor draagbare toepassingen. De dompelpomp is daarvoor uitgerust met een handvat dat uittrekbaar is.
Bovendien zijn deze dompelpompen uitgerust met een zeer compacte, geïntegreerde magnetische vlotterschakelaar die ervoor zorgt dat de waterpomp zelfstandig kan draaien, gestuurd op basis van het waterpeil dat de vlotterschakelaar activeert. Dankzij de verticale beweging die de vlotterschakelaar maakt kan deze dompelpomp in zeer kleine ruimtes toegepast worden. Dat wil zeggen in pompschachten met 22 cm ruimte rondom de pomp.
Dit model dompelpomp heeft een vlotterschakelaar die niet enkel automatisch maar ook manueel geschakeld kan worden zodat de pomp continue kan draaien. De dompelpomp wordt geleverd met een stroomkabel met een lengte van 5 m en euro stekker voor 230V contactdozen met rand aarde.
Bestelgegevens
| Artikelnr. | Productbeschrijving | Prijscategorie |
| 48TEX02A1 | Dompelpomp met vlotter TEX-2 | 1 |
| 48TEX03A1 | Dompelpomp met vlotter TEX-2 | 1 |
| 48TEX02A1U | Dompelpomp met vlotter TEX-2 – 10 m kabel | 1 |
| 48TEX03A1U | Dompelpomp met vlotter TEX-3 – 10 m kabel | 1 |




















